近日,我校河口海岸综合治理与保护研究团队与美国MIT研究人员合作阐明了连续沙波地形上逆流行进波产生的三波相互作用机制,其研究成果发表在流体力学领域享有盛誉的国际顶尖期刊《Journal of Fluid Mechanics》上。
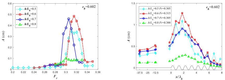
连续沙波广泛存在于河口海岸地区,它与水流、波浪的相互作用机制十分复杂,虽然现场和实验室都有观测到水流经过连续沙波地形会产生逆流行进波的现象,但是其激发条件和成长机制一直没有得到理论上的解释。研究团队采用多重尺度展开的奇异摄动解析,推导出连续沙波地形上逆流行进波振幅的空间分布理论解(图1),设计并开展348组波流水槽试验,发现在相对水深0.5~1.0和弗罗德数0.20~0.34的范围内,亚临界水流经过连续沙波地形时会激发逆流行进波;总结出逆流行进波的波幅、波数与频率等波要素随水流与地形条件的变化规律与空间分布,表明波幅随流速增大呈现单峰分布并体现出明显共振特征(图2-左),在沙波地形上部波幅以指数形式增长(图2-右)。理论解析与水槽试验观测相结合,阐明了逆流行进波的波形产生与成长机制是基于沙波和波相位逆流传播的两个波组成的三波共振组合与地形上部水流流速接近共振波的极限流速条件的联合作用(图3)。研究工作得到国家杰出青年科学基金(51425901)的资助。
论文链接:Jun Fan, Jinhai Zheng, Aifeng Tao, Yuming Liu. Upstream-propagating waves induced by steady current over a rippled bottom: theory and experimental observation. http://dx.doi.org/10.1017/jfm.2020.1006

图1
连续沙波地形上逆流行进波振幅的空间分布理论解与实验结果对比

图2
连续沙波地形上逆流行进波幅随流速变化(左)与波幅空间分布(右)

图3
连续沙波地形上逆流行进波的产生和成长机制

图 4
(港航院)