水工隧洞在水利工程中占据重要地位,主要用于灌溉、发电、供水、泄水、输水、排砂、施工导流和通航等。衬砌作为水工隧洞的最终支护方式,其稳定安全尤为重要。衬砌-围岩联合承载是深埋隧洞初期支护设计的核心问题,而改善初支结构的致密性是提升深埋隧洞服役效能,减少安全事故的有效方式。围绕上述问题,我校师生取得了突破性进展。
研究团队基于声发射和数字图像相关技术建立了纤维致密湿喷混凝土声发射特征参数与裂缝扩展面积之间的联系,提出了一种基于有监督KNN算法的致密湿喷混凝土基体破坏和纤维/基体脱粘行为高效识别模型,并基于断裂过程区长度的演化规律验证了模型有效性(图1),进一步分析了纤维对致密湿喷混凝土的裂缝扩展行为的作用机理,实现了致密湿喷混凝土裂缝过程的声发射信号特征提取,为致密湿喷混凝土结构的安全监测提供理论支撑。

图1:致密湿喷混凝土基体破坏和纤维/基体脱粘行为识别模型:(a) 识别参数特征;(b) 识别模型验证
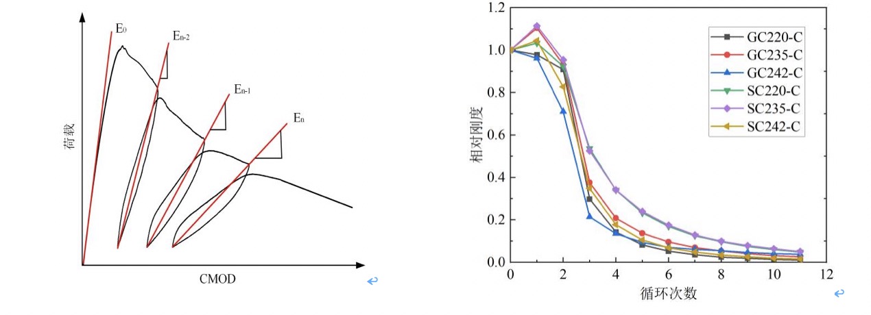
进一步分析了湿喷混凝土-围岩界面Ⅰ-Ⅱ复合型裂缝的断裂机理,采用机器学习方法对 RA-AF 数据进行分析,实现了湿喷混凝土-围岩界面Ⅰ-Ⅱ复合型断裂过程中的“拉伸”与“剪切”的两种断裂模式的有效分类(图2),分析了模态角变化对湿喷混凝土-围岩的四点剪切断裂机理的影响。在上述分析基础上,采用了荷载-CMOD 滞回曲线的割线模量表征试件的损伤特征(图3),阐明了湿喷混凝土-围岩复合结构四点弯曲断裂机理。对机器学习算法识别出的声发射损伤信号进行了分阶段处理,实现了循环荷载作用下湿喷混凝土-围岩结构四点剪切断裂过程中的剪切与拉伸损伤的定量识别,揭示了循环荷载中加载与拉伸损伤比例之间的协同关系(图3)。
| |
图 2:基于机器学习算法的RA-AF数据分类方法
| |
图3:湿喷混凝土-围岩结构相对刚度随循环次数的变化情况:(a) 割线模量示意图;(b) 相对刚度 |
此外,针对不同湿喷混凝土和围岩的复合体开展了单调和往复路径下的压缩试验、理论分析和损伤识别研究,阐明了湿喷混凝土-围岩复合体协同承压破坏机制,构建了适用于复合体的受压应力-应变本构模型,提出了不同围压作用下复合体破坏强度计算模型和考虑损伤累积效应的湿喷混凝土-围岩复合体失效准则。并结合X-CT技术实现了复合体三维细观结构重建,揭示了压缩荷载作用下复合体细观结构破裂演化机制和损伤空间分布特性(图3)。

图3:基于X-CT的湿喷混凝土-围岩三维结构重建及裂隙扩展路径图
研究系统揭示了不同地质环境、应力路径和界面构造条件下水工隧洞衬砌湿喷混凝土与围岩的联合承载破坏机制,为我国长距离、大埋深水工隧洞的设计、施工和运营提供了重要的理论依据和设计参考,已应用于新疆玉龙喀什水利枢纽泄水隧洞、浙江清溪水库泄水隧洞和引汉济渭秦岭输水隧洞等大型工程。
上述研究得到了国家自然科学基金项目(51739008)、国家重点研发计划课题(2020YFC1511902)等的资助。最新系列研究成果发表在工程领域知名期刊《International Journal of Fatigue》、《Composite Structures》、《Engineering Geology》、《Acta Geotechnica》和《Engineering Structures》(均为中科院一区期刊),土木与交通学院陈徐东教授为系列论文的通讯作者。
相关论文信息:
[1] Dandan SHI, Xudong CHEN*, et al. “Revealing the failure mechanism of high strength seawater coral aggregate reinforced concrete slabs based on acoustic emission technology: Parameter analysis and DBN-BPNN classification.” Engineering Structures 303 (2024): 117139. doi: https://doi.org/10.1016/j.engstruct.2024.117439
[2] Yuzhu GUO, Xudong CHEN*, et al. “Identification of mixed mode damage types on rock-concrete interface under cyclic loading.” International Journal of Fatigue 166 (2023): 107273. doi:https://doi.org/10.1016/j.ijfatigue.2022.107273
[3] Dandan SHI, Xudong CHEN*, et al. “Understanding the compression failure mechanism of rock–shotcrete composites using X-CT and DIC technologies.” Acta Geotechnica 5213–5230, (2023): 106400. doi: https://doi.org/10.1007/s11440-023-01884-7
[4] Chen CHEN, Xudong CHEN*, et al. “Identification of fracture damage characteristics in ultra-high performance cement-based composite using digital image correlation and acoustic emission techniques.” Composite Structures 291 (2022): 115612. doi:https://doi.org/10.1016/j.compstruct.2022.115612
[5] Xudong CHEN*, Lu FENG, et al. “Cyclic triaxial test investigation on tuffs with different water content at Badantoru Hydropower Station in Indonesia.” Engineering Geology 300 (2022): 106554. doi: https://doi.org/10.1016/j.enggeo.2022.106554